This summarizes the equations for the vector magnitudes from the following:
Equation of an Ellipse |
![]() |
'c' derived from'a' and 'b': |
![]() |
Vector Magnitude from Center |
![]() |
Vector Magnitude from F1 |
![]() |
Vector Magnitude from F2 |
![]() |
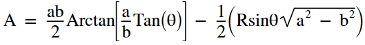
Area swept from Center |
![]() |
Area swept from Focus F1 |
![]() |
Area swept from Focus F2 |
![]() |
Eccentriccity (e) |
![]() |