As can be seen from the previous proof, the area of the ellipse can be derived
for the three-dimensional based definition, providing the circle being rotated
is along the x axis in the z direction. This property can be used to calculate
an area swept be a vector in the ellipse from the center point. Given an ellipse
with a known major and minor axis, the area swept from the center point can
be calculated for any angle θ – See Figure 1- Area Swept from Center
Point.

The first step in the process is to calculate the value of R (vector magnitude) based on the given angle. The equation used for this is shown in Appendix E.
The next step will be to transform the ellipse by rotating it from the z
dimension on the x axis back to the same plane as the current ellipse –
See Figure 5 - Ellipse Area Swept from Center Vertex Transformed. Once transformed
back to the same plane as the ellipse, the value of Y will increase by the
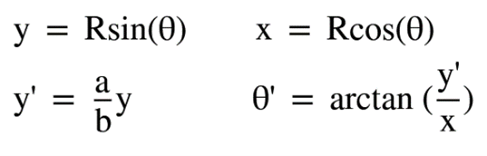
ratio a/b to be Y’. Note that the Y is transformed by the reciprocal
of the b/a ratio as the rotation direction is reversed. The Y transformation
also leads to a new angle on the circle denoted as θ’.
![]() |
|---|
Calculating the value of Y and Y’ is shown in Equation 6 - Transforming the Y and the Angle, along with determining the transformed angle θ’.

Equation 6 - Transforming the Y and the Angle
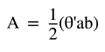
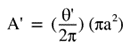
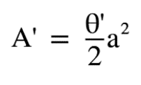
Based on the equations of a circle, the Area (A’) can be calculated as a ratio of θ’ over 2p to the total area of the circle. Once A’ has been calculated, the final value of A for the ellipse can be calculated by simply applying the b/a ratio to A. Note that the Angle is in radians, and that ‘a’ is substituted for radius of the circle since they are equal
| Area Calculation of A' | Simplified | Transformation | With Substitution |
|---|---|---|---|
![]() |
![]() |
![]() |
![]() |
Full Equation |
|||
![]() |
|||
Equation
7 ('Area Swept from Vertex') |
|||