Simply put, the new definition of the ellipse can be stated as follows: “An
Ellipse is mathematically identical to a circle viewed at an angle”. The
following sections will prove this definition by deriving the equation of the
ellipse based in this hypothesis. To perform the derivation, we begin with a
circle on a cartesian plane centered at point (0,0), with a radius a. Additionally,
an arbitrary data point is selected given as point (x, y). A transformation
is then performed where the circle is first rotated on the x axis, then rotated
on the y axis. This can be seen in Figure 2 - Transformation Overview.

Figure 2 - Transformation Overview
This last step creates a view where two triangles are superimposed upon each
other: Triangle with sides abz, and triangle with sides xyyc. These two triangles
are similar in that all three of their angles are the identical. Based on the
rule of similar triangles, this means that the ratio of any two related segments
is also equal. This leads to Equation 2 - Similar Triangle Ratio. From this,
the value for yc can be solved for using Equation 3 - Solving for yc from Similar
Triangle.
![]() |
![]() |
|
| Equation 2 - Similar Triangle Ratio | Equation 3 - Solving for yc from Similar Triangle |
Equation 2 - Similar Triangle Ratio
Based on this transformation, and the resultant triangle ratio equation, we
can solve for the new value of y. However, we must first begin with the equation
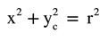
of a Circle as seen in Equation 4- Equation of Circle, followed by
solving for yc from Equation 5- Equation 5 - Solving for Yc from Equation
of Circle. Note that ‘a’ can be substituted with ‘r’
since the radius of the circle is the same as the major axis of the Ellipse.
Equation 4 - Equation of Circle |
Equation 5 - Solving for Yc from Equation of Circle |
Now that we have two equations (Equation 3 and Equation 5) solving for the same
variable yc, we can set them equal as shown in See Figure 3 - Setting Yc
Equal. From this equality, we can derive the equation of the Ellipse.
![]() |
Figure 3 - Setting Yc Equal |