There is no simple equation for the circumference (or perimeter) of an ellipse, though there have been many approximations. Another solution is to calculate the circumference of the ellipse based upon the fact that the ellipse is mathematically identical to viewing a circle at an angle. To accomplish this computation, you begin with a circle of radius 'a', then rotate it in the 'z' direction presenting an ellipse. Futher, this rotation presents an ellipse as a projection which can be used to calculate the perimeter.
![]() |
![]() |
Figure 1 |
Figure 2 |
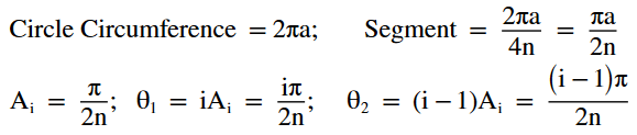
| Start with a circle with radius 'a' (also the semi major axis of the ellipse). Next, divide the circle with radii of equal angles as shown in Figure 1. Note that the number of radii is denoted by 'n' and as will be shown, will approach infinitiy. With the angle of each radii being known (Ai), based on 'n', the length of segment 'S' can be determined by calculating the circumference of the ellipse and dividing by n. Since we are focusing on the first 90 degree quadrant, we also divide by 4. | |
| The next step is the calculate the vertical lines where the radii intersect the circle boundary, as shown in Figure 2. | |
Figure 3 |
|
![]() |
![]() |
Figure 4 |
Figure 5 |
| The circle can then be rotated along the x axis in the 'z' direction, which presents an ellipse as seen in Figure 4. Note that the vertical lines do not change in regards to the x axis. As a result, the height of the vertical lines changes from 'Y', to b/a times 'Y' which can be seen in Figure 5. | |
![]() |
![]() |
Figure 5 |
Figure 6 |
| Viewing the circle with radius 'a' at an angle presents an ellipse with a semi minor axis of 'b', as shown in Figure 6. Using this perspective, the last step is the create a series of triangles to calculate all the values of X that sum up to the circumference of the ellipse. Calculating 'x' of the triangle assummes that the hypotenenuse is 's', and the vertical leg is Δy. Since this is a right triangle, the pythagorean theorem can be used to compute the value of x | |
![]() |
|
Figure 7 |
|
| Since we now have the equation for x, we can sum that value as n approaches infinity. Deriving this equation as well as showing final equation is shown in Figure 8. | |
![]() |
|
Figure 8 |
|